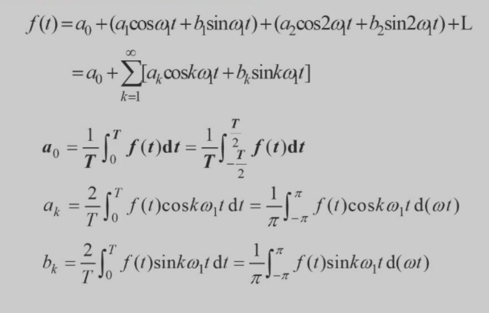
傅里叶展开

形式 1

形式 2

形式 3

频谱

F.的模为对应谐波分量的幅值的一半

有效值

⚠️:i_1 i_2 都是有效 值

平均值

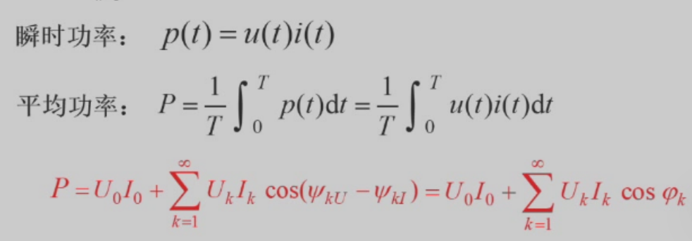
平均功率

由三角函数正交性, 只有同频率的电压电流信号才构成平均功率

非正弦信号的平均功率等于各谐波信号平均功率之和