Quartz 4
Search
Search
Dark mode
Light mode
Reader mode
Explorer
Home
❯
学习笔记
❯
电路原理
❯
冲激响应
冲激响应
Nov 18, 2025
1 min read
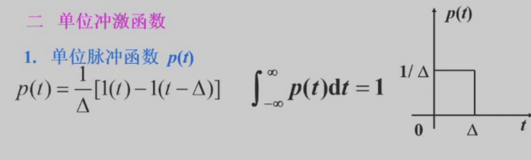
积分特征:
冲激函数的积分等于 1:
∫
−
∞
∞
δ
(
t
)
d
t
=
1
筛选性质:
∫
−
∞
∞
f
(
t
)
δ
(
t
−
t
0
)
d
t
=
f
(
t
0
)
冲激函数的性质
法二
阶跃函数 -》求导冲击函数
法三:
Graph View
Table of Contents
冲激函数的性质
法二
法三:
Backlinks
·电路原理TOC