有功功率

三表法

两表法

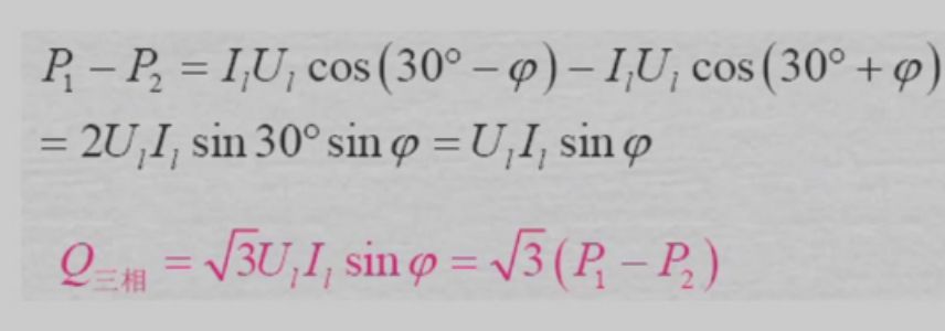
证明:(要求:

代数和=

无功功率

单表

功率表

或两表法: