束缚电流(分子面电流/磁化电流)
方向

法一:先判断外磁场方向,在根据顺逆磁质判断束缚电流方向
法二:顺磁质的磁化电流与原电流方向相同
⚠️:束缚电流只分布在面的边缘,磁化电流线密度 , 是指沿轴线的密度
与磁化强度关系
- 磁化电流线密度 (:垂直于磁介质表面,指向介质外部)
- ,磁化强度沿任一闭合回路的环流,等于穿过此回路的束缚电流的代数和
磁介质的安培环路定律
类比4.电介质


- 安培环路定理: (I 为传导电流)【&原安培环路定理中为所有电流】
- 磁化强度 与磁感应强度 、磁场强度 的关系:
- ( 是合磁场,有:)
- 定义
- 实验证明
- 推导得
- 束缚电荷线密度与磁化强度的关系

⚠️:
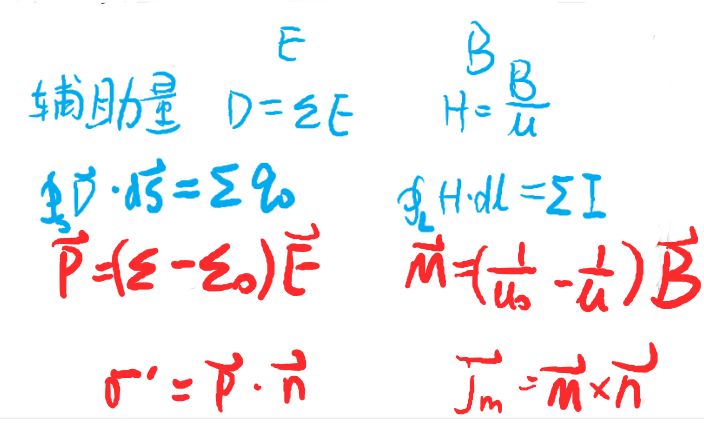
| 电场相关 | 磁场相关 |
|---|---|
| 辅助量 | 辅助量 |
| 高斯 | 安培环路 |
| 极化强度 | 磁化强度 |
| 极化电荷密度 | 束缚电流密度 |
